
안녕하세요. 주식 투자 블로거 코우헤이입니다. 오늘은 현금 흐름 할인법(Discounted Cash Flow, DCF)에 따른 가치 평가와 관련해서 설명하고자 합니다. 이전에 포스팅했던 상대적 가치 평가 방법(PER, PBR, PCFR) 과는 달리, DCF 방법에 의한 가치 평가는 배당(Dividend), 잉여현금흐름(Free Cash Flow, FCF)과 같은 미래에 예상되는 경제적 이익(현금 흐름)을 현재의 가치로 할인해서 주식을 평가하는 방법입니다. 이 때, 할인율은 그 이익 실현을 위해 감수해야 하는 리스크를 고려한 할인율로 할인되는 것이 특징이라고 할 수 있습니다. 이번 시간에는 일반적으로 많이 사용되는 FCF에 의한 DCF 방법을 소개하고자 합니다.
2019/03/11 - [주식/가치 평가] - PER(주가 대비 이익 비율)
2019/03/19 - [주식/가치 평가] - PBR(주가 대비 장부가치 비율)
2019/03/26 - [주식/가치 평가] - PCFR(주가 대비 현금흐름 비율)
(1) 잉여현금흐름(Free Cash Flow, FCF) 계산
DCF를 구하기 위한 첫 번째 단계는, 우선 FCF의 계산입니다. FCF란, 운영비용, 고정 자산, 운전 자본에 대한 투자 지출을 마무리한 후, 채권자와 주주에게 분배할 수 있는 현금 흐름을 말하며 다음과 같은 식으로 나타낼 수 있습니다.
잉여현금흐름(Free Cash Flow, FCF)= EBIT×(1-t)+(감가상각비)-(고정자산 및 운전자본 투자지출)
EBIT(Earnings Before Interest and taxes)에 1- t(법인세율)을 곱한 EBIAT(Earnings Before Interest After Taxes)에는, 실제로 현금의 유출은 없지만, 회계상으로는 손실에 해당하는 감가상각비를 가산합니다. 고정자산 지출은, EBIT의 계산에 포함되어 있지 않기 때문에 현금지출이 있는 것으로 가정하여 차감합니다.
(2) 잔존가치(Terminal Value, TV) 계산
잔존가치(TV)란, 기업이 사업을 정리할 시점에서의, 평가 대상 기업의 사업가치를 뜻합니다. 일반적으로는, 평가 대상 기업이 사업을 계속하는 것으로 가정하는, 계속 기업의 가정(Going-Concern Assumption, GCA)을 적용합니다. 잔존가치는 다음과 같은 식으로 나타낼 수 있습니다.
잔존가치(Terminal Value, TV) = FCF x(1+성장률)÷(할인율-성장률)
성장률은 FCF의 성장률에 해당하며, 장기적으로 볼 때 업계의 성장률 내지는 거시 경제 성장률에 수렴할 것으로 예상되지만, 성장률은 변수에 따라 불확실성이 높기 때문에, 가능한 한 보수적으로 산정을 하는 편이 좋습니다. 그렇다면, 실제로 계산을 해보도록 하겠습니다.
| A기업 | 2020년 | 2021년 | 2022년 이후 |
| EBIT | 2,400 | 2,200 | 2,600 |
| 법인세 | 800 | 700 | 900 |
| EBIAT | 1,600 | 1,500 | 1,700 |
| 감가상각비 | 1,400 | 1,200 | 1,600 |
| 고정자산 투자지출 | 1,000 | 1,400 | 1,200 |
| 운전자본 투자지출 | 100 | 100 | 100 |
| FCF | 1,900 | 1,200 | 2,000 |
할인율: 5.2%, 성장률: 0.1%로 가정했을 경우, 2022년 이후, A 기업의 2022년 이후 잔존가치는 (Terminal Value, TV) = FCF x(1+성장률)÷(할인율-성장률)이므로, TV = 2,000 x(1+0.001)÷(0.052-0.001) = 39,255
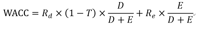
(3) 가중 평균 자본 비용 (Weighted Average Cost of Capital, WACC)계산
일반적으로, 기업의 재무 실적을 평가할 때는, 사업에 투자한 자산의 이익률이 자본 비용을 얼마만큼 상회했는지를 기준으로 합니다. 투자된 자본 대비 투자자(채권자 및 주주)가 요구하는 기대 수익률을 자본 비용이라고 합니다. 즉, 기업 전체의 자본 비용은, 주주가 기대하는 주주 자본 비용과, 채권자가 요구하는 채권자의 기대수익률인 부채 비용으로 구성됩니다. DCF 가치평가에서는, 이 두 가지의 비용으로부터 도출되는 가중평균 자본비용(Weighted Average Cost of Capital, WACC)이 널리 사용되고 있습니다. 이를 식으로 나타내면, 다음과 같습니다.

Rd : 부채 비용(세전), Re : 주주 자본 비용, T: 실효세율, D: 유이자 부채 E: 주주 자본
부채 비용(Rd)에서는, 절세효과를 가치에 반영시키기 위해 부채 비용(Rd)에 (1-T(실효세율))을 곱해줍니다. 한편, 주주 자본 비용(Re)은 자본 자산 평가 모델(Capital Asset Pricing Model, CAPM)에 의해서 계산하는 것이 일반적입니다. 이는, 주주가 기업에 기대하는 요구 수익률이라고 생각하면 될 것 같습니다. CAPM의 공식은 다음과 같습니다.

Re: 주주 자본 비용, Rf: 무위험 이율, Rm:시장 전체 기대 수익률, Rm-Rf: 시장 위험 프리미엄, β: 주식의 시장 민감도
무위험 이율은 통상, 리스크가 없는 10년물 국채의 이율을 사용하는 경우가 많습니다. 주식의 시장 민감도인 β는, 개별 주식의 주가 변화와 주식 시장 전체의 변화의 상관관계를 나타냅니다. 즉, β가 높을수록, 주식의 시장 민감도가 높고, 주가 변동 리스크가 높다고 할 수 있습니다. 여기에서, Rd: 4%, Re: 10%, T: 30%, D: 1000, E: 1200라고 가정했을 경우, WACC 공식에 의해, WACC = 0.04 ×(1-0.3) ×((1000)÷(1000+1200))+0.1 ×((1000)÷(1000+1200)) = 0.0127+0.0455=0.0582 = 5.82%
(4) FCF 및 TV의 현재가치 계산
또한, DCF 가치평가에서는 미래 현금 흐름의 현재 가치를 고려해야만 합니다. 현재 가치란, 미래의 어떤 시점의 돈이 현시점의 가치로 나타내면 얼마가 될 것인가 하는 것과 관련이 있습니다. 예를 들어, 시중 금리가 5%라고 하면, 3년 뒤에 유입이 기대되는 10만 원의 현재가치는 다음과 같이 계산할 수 있습니다. 10만 원÷1.05÷1.05÷1.05=8.64만 원. 이와 유사하게, DCF 가치평가에서는, 지금까지 계산한 FCF, TV를 WACC를 이용한 현재가치로 할인해서 최종 기업 가치를 구할 수 있습니다.
| A기업 | 2020년 | 2021년 | 2022년 이후 | |
| EBIT | 2,400 | 2,200 | 2,600 | |
| 법인세 | 800 | 700 | 900 | |
| EBIAT | 1,600 | 1,500 | 1,700 | |
| 감가상각비 | 1,400 | 1,200 | 1,600 | |
| 고정자산 투자지출 | 1,000 | 1,400 | 1,200 | |
| 운전자본 투자지출 | 100 | 100 | 100 | |
| FCF | 1,900 | 1,200 | 2,000 | |
| 잔존가치 | 39,255 | |||
| WACC | 5.82% | 5.82% | 5.82% | 합계 |
| FCF 현재가치 | 1,796 | 1,072 | 33,127 | 35,995 |
'주식 > 가치 평가' 카테고리의 다른 글
| ROE(자기 자본 이익률) (0) | 2020.03.09 |
|---|---|
| PCFR(주가 대비 현금흐름 비율) (0) | 2019.03.26 |
| PBR(주가 대비 장부가치 비율) (0) | 2019.03.19 |
| PER(주가 대비 이익 비율) (0) | 2019.03.11 |